| Verfügbare Tafelbilder |
 |
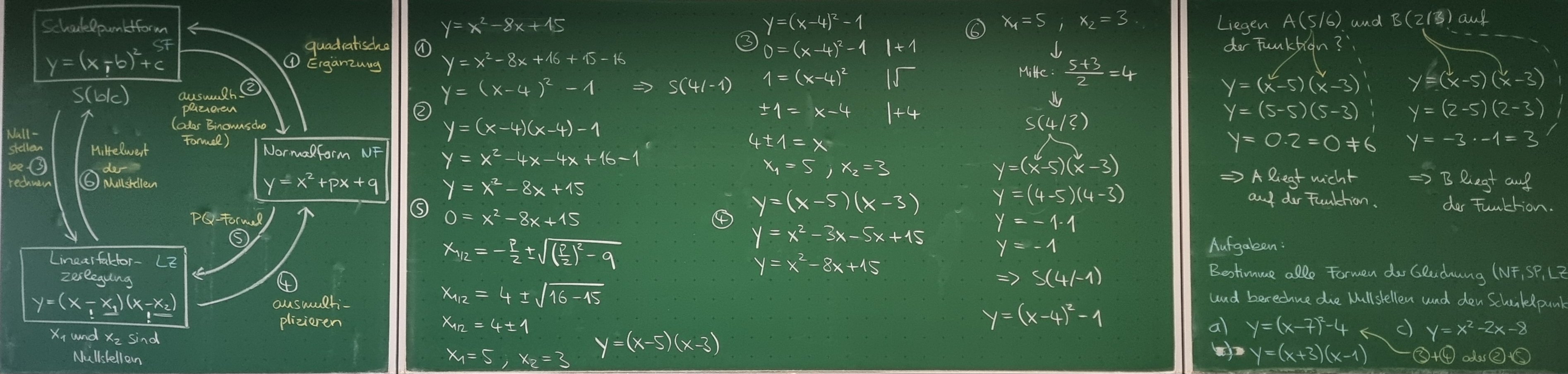
 |  | 14.04.2026 - 09:09:51 Uhr |  | (.jpg-Datei, 843 KB) |
 |
 |  | 24.03.2026, 08:47:05 Uhr: KA-Themen und Statistik |
 |
 |  | 20.03.2026, 10:56:40 Uhr: Nummernschilder |
 |
 |  | 20.03.2026, 10:56:21 Uhr: Wahrscheinlichkeiten, Urnenmodell, 2024-W4 |
 |
 |  | 13.03.2026, 13:06:48 Uhr: Prozentualer Unterschied von Zylindervolumina |
 |
 |  | 13.03.2026, 13:06:35 Uhr: Schnittpunkte von Geraden |
 |
 |  | 13.03.2026, 13:06:26 Uhr: Lineare, quadratische und exponentielle Fuktionen |
 |
 |  | 10.03.2026, 08:31:21 Uhr: Pyramide berechnen (2023-W2) |
 |
 |  | 06.03.2026, 10:28:48 Uhr: Oberfläche, Volumen und Masse eines Kegels berechnen |
 |
 |  | 03.03.2026, 09:09:52 Uhr: Längen-, Flächen- und Volumeneinheiten |
 |
 |  | 03.03.2026, 09:09:51 Uhr: Zehnerpotenzen und Kommaverschiebung |
 |
 |  | 03.03.2026, 08:55:53 Uhr: Trapezprisman berechnen |
 |
 |  | 03.03.2026, 08:55:53 Uhr: Quader aus Zylinder aussägen |
 |
 |  | 24.02.2026, 09:09:57 Uhr: Trapezprisma berechnen |
 |
 |  | 24.02.2026, 09:09:41 Uhr: Tipps und Hinweise zur KA |
 |
 |  | 20.02.2026, 10:40:42 Uhr: Probleme bei Dreieckskonstruktionen und Sinussatz |
 |
 |  | 20.02.2026, 08:45:48 Uhr: Berechnungen im Parallelogramm (2024-W1) |
 |
 |  | 03.02.2026, 11:45:46 Uhr: Überblick Trigonometrie |
 |
 |  | 27.01.2026, 08:58:07 Uhr: Herleitung und Anwendung Kosinussatz |
 |
 |  | 23.01.2026, 11:05:55 Uhr: Lösung Aufgabe 10a |
 |
 |  | 23.01.2026, 11:05:26 Uhr: Lösung Aufgaben 5a und 5b |
 |
 |  | 23.01.2026, 11:05:10 Uhr: Einführung Sinussatz |
 |
 |  | 13.01.2026, 12:28:02 Uhr: Einführung Sinus, Kosinus, Tangens, Kotangens |
 |
 |  | 16.12.2025, 08:42:08 Uhr: Einführung Trigonometrie |
 |
 |  | 27.11.2025, 10:01:25 Uhr: Aufgaben aus einer frueheren Klassenarbeit |
 |
 |  | 27.11.2025, 09:17:28 Uhr: Darstellungsformen von Parabelgleichungen |
 |
 |  | 27.11.2025, 09:17:18 Uhr: Beispielaufgaben zur Klassenarbeit |
 |
 |  | 21.11.2025, 11:12:35 Uhr: Übungen zur Klassenarbeit mit Lösungen |
 |
 |  | 21.11.2025, 10:29:30 Uhr: Graphen und Gleichungen quadratischer Funktionen |
 |
 |  | 18.11.2025, 09:08:18 Uhr: Themen der Klassenarbeit |
 |
 |  | 18.11.2025, 08:32:36 Uhr: Keine Nullstelle berechenbar |
 |
 |  | 11.11.2025, 08:51:35 Uhr: Scheitelpunktform, Normalform und Linearfaktoren |
 |
 |  | 07.11.2025, 11:03:40 Uhr: Voraussetzungen für die Anwendung der PQ-Formel |
 |
 |  | 07.11.2025, 11:03:32 Uhr: Anwendung der PQ-Formel |
 |
 |  | 31.10.2025, 11:15:56 Uhr: Anwendung der PQ-Formel |
 |
 |  | 31.10.2025, 11:15:37 Uhr: Herleitung der PQ-Formel |
 |
 |  | 31.10.2025, 11:15:04 Uhr: Scheitelpunkt, Normalform und Linearfaktoren |
 |
 |  | 28.10.2025, 09:20:45 Uhr: Von der Scheitelpunkt- zur Normalform |
 |
 |  | 28.10.2025, 08:57:11 Uhr: Von der Normal- zur Scheitelpunktform |
 |
 |  | 24.10.2025, 11:16:36 Uhr: Von der Scheitelpunkt- zur Normalform |
 |
 |  | 24.10.2025, 10:55:18 Uhr: Verschiebung von Parabeln |
 |
 |  | 21.10.2025, 12:26:33 Uhr: Hinweise zur Rückgabe der Arbeit |
 |
 |  | 23.09.2025, 09:08:40 Uhr: Themen der Klassenarbeit (2) |
 |
 |  | 23.09.2025, 09:08:22 Uhr: Themen der Klassenarbeit (1) |
 |
 |  | 19.09.2025, 11:07:29 Uhr: Hinweise zur Klassenarbeit |
 |
 |  | 16.09.2025, 09:20:01 Uhr: Hinweise zu den Textaufgaben und zum Einsetzungsverfahren |
 |
 |  | 09.09.2025, 09:23:28 Uhr: Lösung zu Aufgabe 1 und Ansatz zu Aufgabe 2 |
 |
 |  | 09.09.2025, 09:07:33 Uhr: Sachaufgaben zu Linearen Gleichungssystemen |
 |
 |  | 05.09.2025, 11:12:23 Uhr: Punkte verbinden und Geraden schneiden |
 |
 |  | 02.09.2025, 09:20:52 Uhr: Punkte verbinden - Lösung Aufgabe 2 |
 |
 |  | 02.09.2025, 09:20:27 Uhr: Punkte verbinden - Lösung Aufgabe 1 |
 |
 |  | 02.09.2025, 09:20:19 Uhr: Punkte verbinden - Aufgabe |
 |
 |  | 02.09.2025, 08:48:24 Uhr: Schnittpunkte von Geraden |
 |
 |  | 02.09.2025, 08:31:07 Uhr: Schnittpunkte von Geraden |
 |
 |  | 29.08.2025, 11:14:10 Uhr: LGS mit 2 unsortierten Gleichungen und 2 Unbekannten - Lösungen |
 |
 |  | 29.08.2025, 11:14:00 Uhr: LGS mit 2 unsortierten Gleichungen und 2 Unbekannten - Aufgaben |
 |
 |  | 29.08.2025, 11:13:49 Uhr: Verfahren zum Lösen von LGS |
 |
 |  | 26.08.2025, 09:29:01 Uhr: LGS mit 3 Gleichungen und 3 Unbekannten |
 |
 |  | 23.06.2025, 12:50:42 Uhr: LGS mit 2 Gleichungen mit Brüchen und 2 Unbekannten |
 |
 |  | 23.06.2025, 12:50:32 Uhr: Gleichsetzungsverfahren |
 |
 |  | 16.06.2025, 13:08:29 Uhr: Schnittpunkte von Geraden |
 |
 |  | 06.06.2025, 08:44:05 Uhr: Masse einer Hohlkugel |
 |
 |  | 05.06.2025, 10:59:13 Uhr: Kegel und quadratische Pyramide |
 |
 |  | 05.06.2025, 10:59:06 Uhr: Kegel und quadratische Pyramide |
 |
 |  | 05.06.2025, 10:58:51 Uhr: Kegel und quadratische Pyramide |
 |
 |  | 19.05.2025, 13:05:44 Uhr: Volumen eines Quaders |
 |
 |  | 19.05.2025, 12:58:31 Uhr: Schätzaufgabe zur Masse einer Kugel |
 |
 |  | 19.05.2025, 12:58:23 Uhr: Flächen- und Volumenberechnung |
 |
 |  | 19.05.2025, 12:57:51 Uhr: Bruchrechnung |
 |
 |  | 15.05.2025, 11:14:22 Uhr: LGS mit 3 Gleichungen und 3 Unbekannten |
 |
 |  | 28.04.2025, 17:42:40 Uhr: LGS mit 2 Gleichungen und 2 Unbekannten |
 |
 |  | 04.04.2025, 08:40:52 Uhr: Flächen von Dreiecken und Vierecken |
 |
 |  | 21.03.2025, 08:39:51 Uhr: Baumdiagramm |
 |
 |  | 20.03.2025, 10:28:26 Uhr: Satzgruppe des Pythagoras und Baumdiagramm |
 |
 |  | 17.03.2025, 12:57:18 Uhr: Grundlagen der Wahrscheinlchkeitsrechnung |
 |
 |  | 13.03.2025, 11:18:50 Uhr: Baumdiagramm |
 |
 |  | 13.03.2025, 10:58:45 Uhr: Ergebnis, Ereignis und Baumdiagramm |
 |
 |  | 10.03.2025, 12:54:54 Uhr: Reinquadratische Gleichungen und Satzgruppe des Pythagoras |
 |
 |  | 24.02.2025, 12:45:00 Uhr: Sachaufgaben Pythagoras |
 |
 |  | 21.02.2025, 08:41:18 Uhr: Sachaufgaben Pythagoras |
 |
 |  | 17.02.2025, 13:12:49 Uhr: Satz des Pythagoras |
 |
 |  | 23.01.2025, 10:56:19 Uhr: KA-Besprechung: Grundaufgaben Prozentrechnung |
 |
 |  | 23.01.2025, 10:55:41 Uhr: KA-Besprechung: Körper, Kreis(ring)e, Winkel und Einheiten |
 |
 |  | 20.01.2025, 13:11:27 Uhr: KA-Besprechung: Heron-Verfahren und Kreise |
 |
 |  | 20.01.2025, 13:10:37 Uhr: KA-Besprechung: Reinquadratische Gleichungen und Wurzelterme |
 |
 |  | 20.01.2025, 09:27:52 Uhr: KA-Besprechung: Reinquadratische Gleichungen |
 |
 |  | 16.12.2024, 10:54:00 Uhr: Lösungen zu Übungsaufgaben für die KA |
 |
 |  | 28.11.2024, 11:18:20 Uhr: Runde Körper berechnen |
 |
 |  | 25.11.2024, 13:10:00 Uhr: Bestimmung von Pi |
 |
 |  | 21.11.2024, 11:07:40 Uhr: Wurzeln zusammenfassen |
 |
 |  | 18.11.2024, 11:15:53 Uhr: Einfache Wurzelgleichungen |
 |
 |  | 14.11.2024, 11:19:03 Uhr: Einfache Wurzelgleichungen |
 |
 |  | 11.11.2024, 12:53:07 Uhr: Anwendung der Rechengesetze für Wurzeln |
 |
 |  | 06.11.2024, 08:51:58 Uhr: Übungen zum Radizieren mit Hilfe der Wurzelgesetze |
 |
 |  | 04.11.2024, 12:52:31 Uhr: Zahlenmengen |
 |
 |  | 04.11.2024, 12:51:19 Uhr: Wege zur Berechnung von Wurzeln |
 |
 |  | 04.11.2024, 12:49:08 Uhr: Rechnen mit Potenzen |
 |
 |  | 28.10.2024, 12:32:26 Uhr: Heron-Verfahren zur Wurzelberechnung |
 |
 |  | 30.09.2024, 12:43:38 Uhr: Überblick Zentrische Streckung und Srahlensätze |
 |
 |  | 19.09.2024, 11:18:04 Uhr: Aufgaben zu Strahlensätzen mit vermischten Lösungen |
 |
 |  | 16.09.2024, 12:46:05 Uhr: Überblick Strahlensätze |
 |
 |  | 12.09.2024, 10:50:24 Uhr: Einführung Zweiter Strahlensatz |
 |
 |  | 09.09.2024, 13:04:49 Uhr: Streckfaktor |
 |
 |  | 05.09.2024, 11:15:01 Uhr: Zentrische Streckung |
 |
 |  | 03.09.2024, 09:55:29 Uhr: Ähnlichkeit und Kongruenz |
 |
 |  | 18.06.2024, 09:26:02 Uhr: Punkte zu Geraden verbinden und Schnittpunkte berechnen |
 |
 |  | 14.06.2024, 09:15:59 Uhr: Punkte zu Geraden verbinden - Aufgaben mit Lösungen |
 |
 |  | 14.06.2024, 08:57:04 Uhr: Punkte zu Geraden verbinden - Aufgaben mit Lösungen |
 |
 |  | 11.06.2024, 09:24:05 Uhr: Schnittpunkte berechnen |
 |
 |  | 28.05.2024, 09:28:45 Uhr: Schnittpunkte berechnen |
 |
 |  | 24.05.2024, 09:30:58 Uhr: Schnittpunkte berechnen |
 |
 |  | 24.05.2024, 09:30:37 Uhr: Schnittpunkte berechnen |
 |
 |  | 14.05.2024, 09:24:04 Uhr: Körperberechnung und Funktionen |
 |
 |  | 07.05.2024, 13:18:18 Uhr: Lösungen zu AB 83801 - (6)-(10) |
 |
 |  | 07.05.2024, 13:15:18 Uhr: Lösungen zu AB 83801 - (1)-(5) |
 |
 |  | 07.05.2024, 09:10:34 Uhr: Geraden zeichnen mit y-Achsenabschnitt und Steigung |
 |
 |  | 30.04.2024, 13:50:25 Uhr: Lösung zu Seite 171, Aufgabe 8 |
 |
 |  | 30.04.2024, 13:50:22 Uhr: Lösung zu Seite 173, Aufgabe 6d |
 |
 |  | 30.04.2024, 13:50:19 Uhr: Lösung zu Seite 173, Aufgabe 6c |
 |
 |  | 30.04.2024, 13:50:16 Uhr: Lösung zu Seite 173, Aufgabe 6ab |
 |
 |  | 30.04.2024, 08:48:20 Uhr: Graphen zeichnen ohne Wertetabelle |
 |
 |  | 26.04.2024, 09:29:21 Uhr: Lineare Funktionen und ihre Graphen |
 |
 |  | 26.04.2024, 09:29:02 Uhr: Lineare Funktionen und ihre Graphen |
 |
 |  | 23.04.2024, 13:08:09 Uhr: Graphen von linearen Funktionen und von der Sinusfunktion |
 |
 |  | 19.04.2024, 09:24:31 Uhr: Graphen quadratischer und exponentieller Funktionen |
 |
 |  | 19.04.2024, 09:15:48 Uhr: Wertetabellen und Graphen (Parkgebühren) |
 |
 |  | 16.04.2024, 09:27:34 Uhr: Einführung Funktionen |
 |
 |  | 19.03.2024, 09:20:15 Uhr: Volumen und Masse eines liegenden Dreiecksprismas |
 |
 |  | 19.03.2024, 08:50:24 Uhr: Volumen und Masse |
 |
 |  | 12.03.2024, 10:52:16 Uhr: Volumen und Oberfläche eines liegenden Dreiecksprismas |
 |
 |  | 12.03.2024, 10:51:54 Uhr: Mantelfläche, Oberfläche und Volumen von Prismen |
 |
 |  | 08.03.2024, 13:59:45 Uhr: Volumen von Prismen |
 |
 |  | 05.03.2024, 09:26:09 Uhr: Volumen eines Dreiecksprismas |
 |
 |  | 05.03.2024, 09:14:16 Uhr: Ecken, Kanten, Flächen und Volumenformeln |
 |
 |  | 20.02.2024, 09:21:52 Uhr: Kopfrechentrick mit Binomischer Formel |
 |
 |  | 20.02.2024, 09:21:52 Uhr: Hinweise zur Klassenarbeit |
 |
 |  | 16.02.2024, 12:59:06 Uhr: Umstellen von Formeln und Flächenpreise |
 |
 |  | 09.02.2024, 14:33:26 Uhr: Beispielaufgaben zum Rechnen mit der Trapezformel |
 |
 |  | 06.02.2024, 09:20:10 Uhr: Aufgaben und Lösungen mit Flächenformeln |
 |
 |  | 30.01.2024, 09:27:23 Uhr: Dreieckshöhen berechnen |
 |
 |  | 30.01.2024, 08:51:26 Uhr: Anleitung zum Umgang mit Formeln |
 |
 |  | 26.01.2024, 12:26:23 Uhr: Einführung der Flächenformeln |
 |
 |  | 23.01.2024, 09:19:46 Uhr: Trapezflächen berechnen |
 |
 |  | 16.01.2024, 09:19:32 Uhr: Haus der Vierecke |
 |
 |  | 15.12.2023, 12:32:49 Uhr: Flächeninhalte und Umfänge ebener Figuren |
 |
 |  | 05.12.2023, 12:09:22 Uhr: Dreieckskonstruktion SWS (2019, B, P6) |
 |
 |  | 28.11.2023, 11:13:03 Uhr: Flächenberechnung (2021, B, P8b) |
 |
 |  | 28.11.2023, 08:59:33 Uhr: Anleitung zur Trapezkonstruktion (2021, B, W2a) |
 |
 |  | 24.11.2023, 12:30:41 Uhr: Wahrscheinlichkeit und Kombinatorik |
 |
 |  | 21.11.2023, 09:28:03 Uhr: Wh Prozentrechnung |
 |
 |  | 21.11.2023, 09:18:13 Uhr: Wh Brüche, Flächen, Wahrscheinlichkeit |
 |
 |  | 10.11.2023, 13:04:27 Uhr: Wh Symmetrie |
 |
 |  | 10.11.2023, 13:01:32 Uhr: Wh Symmetrie |
 |
 |  | 10.11.2023, 12:54:56 Uhr: Wh Symmetrie |
 |
 |  | 10.11.2023, 12:48:13 Uhr: Wh Winkel berechnen |
 |
 |  | 10.11.2023, 12:44:16 Uhr: Wh Winkel berechnen |
 |
 |  | 10.11.2023, 12:30:12 Uhr: Wh Winkel berechnen |
 |
 |  | 10.11.2023, 12:27:01 Uhr: Wh Winkel berechnen |
 |
 |  | 10.11.2023, 12:26:33 Uhr: Wh Winkel und Dreiecksarten |
 |
 |  | 07.11.2023, 09:16:09 Uhr: Binomische Formeln |
 |
 |  | 07.11.2023, 08:36:49 Uhr: Gleichungen mit Brüchen und Klammern |
 |
 |  | 03.11.2023, 13:06:28 Uhr: Bruchgleichungen |
 |
 |  | 03.11.2023, 13:06:21 Uhr: Zahlenmengen und Definitionsbereich |
 |
 |  | 03.11.2023, 12:14:44 Uhr: Gleichungen mit mehreren Klammern |
 |
 |  | 31.10.2023, 09:21:38 Uhr: Gleichungen mit mehreren Klammern |
 |
 |  | 31.10.2023, 08:49:03 Uhr: Gleichungen mit mehreren Klammern |
 |
 |  | 11.10.2023, 10:53:39 Uhr: Binomische Formeln |
 |
 |  | 11.10.2023, 10:53:21 Uhr: Gleichungen mit unf ohne Klammern |
 |
 |  | 06.10.2023, 12:50:32 Uhr: Übungen zu Gleichungen und Binomischen Formeln |
 |
 |  | 06.10.2023, 12:50:16 Uhr: Gleichungen und Binomische Formeln |
 |
 |  | 28.09.2023, 09:19:50 Uhr: Binomische Formeln |
 |
 |  | 19.09.2023, 08:35:23 Uhr: Klammern auflösen (Krabsen) |
 |
 |  | 15.09.2023, 12:40:07 Uhr: Hinweise zu Gleichungen und Klammern |
 |
 |  | 27.06.2023, 09:28:21 Uhr: Aufgaben zu Gleichungen |
 |
 |  | 20.06.2023, 08:52:06 Uhr: Gleichungen - Beispiele und Aufgaben |
 |
 |  | 29.03.2023, 10:14:59 Uhr: Wichtige Geometrie-Begriffe |
 |
 |  | 27.03.2023, 08:29:35 Uhr: Winkelarten und -größen |
 |
 |  | 14.03.2023, 09:32:07 Uhr: Bruchrechnung |
 |
 |  | 07.03.2023, 09:33:00 Uhr: Lösungen |
 |
 |  | 07.03.2023, 09:02:56 Uhr: Themen der Klassenarbeit |
 |
 |  | 01.03.2023, 13:10:57 Uhr: Übungen |
 |
 |  | 01.03.2023, 12:27:59 Uhr: Übungen |
 |
 |  | 01.03.2023, 12:27:51 Uhr: Themen der Klassenarbeit |
 |
 |  | 28.02.2023, 09:15:53 Uhr: Rechenregeln |
 |
 |  | 28.02.2023, 09:15:39 Uhr: Addition statt Subtraktion |
 |
 |  | 14.02.2023, 09:24:50 Uhr: Multiplikation rationaler Zahlen |
 |
 |  | 30.01.2023, 11:09:43 Uhr: Subtraktion mit Kurzschreibweise |
 |
 |  | 30.01.2023, 10:43:16 Uhr: Subtraktion mit Kurzschreibweise |
 |
 |  | 30.01.2023, 10:36:24 Uhr: Addition und Subtraktion rationaler Zahlen |
 |
 |  | 25.01.2023, 12:41:13 Uhr: Guthaben und Schulden |
 |
 |  | 09.01.2023, 11:11:49 Uhr: Rationale Zahlen |
 |
 |  | 14.12.2022, 13:07:26 Uhr: Alte Preise berechnen |
 |
 |  | 14.12.2022, 12:55:22 Uhr: Alte und neUE Preise |
 |
 |  | 05.12.2022, 11:20:57 Uhr: (Mehrfache) Erhöhungen und Senkungen |
 |
 |  | 30.11.2022, 13:13:52 Uhr: (Mehrfache) Erhöhungen und Senkungen |
 |
 |  | 28.11.2022, 11:23:03 Uhr: Mehrfache Erhöhung |
 |
 |  | 23.11.2022, 12:53:41 Uhr: Grundaufgaben |
 |
 |  | 14.11.2022, 11:14:59 Uhr: Prozentsatz und -wert berechnen |
 |
 |  | 09.11.2022, 13:13:28 Uhr: Prozentsatz berechnen |
 |
 |  | 07.11.2022, 11:24:42 Uhr: Grundbegriffe der Prozentrechnung |
 |
 |  | 02.11.2022, 13:06:47 Uhr: Prozentsätze berechnen |
 |
 |  | 31.10.2022, 11:20:00 Uhr: Einführung in die Prozentrechnung |
 |
 |  | 12.10.2022, 12:30:51 Uhr: Themen der Arbeit |
 |
 |  | 07.10.2022, 11:18:03 Uhr: Schulweggeschichten |
 |
 |  | 05.10.2022, 13:13:07 Uhr: Vergleich der Zuordnungstypen |
 |
 |  | 05.10.2022, 09:24:33 Uhr: Weg-Zeit-Diagramm |
 |
 |  | 28.09.2022, 08:25:15 Uhr: Vergleich der Zuordnungstypen |
 |
 |  | 23.09.2022, 11:07:07 Uhr: Antiproportioanle Zuordnungen und Hyperbel |
 |
 |  | 21.09.2022, 12:57:11 Uhr: Proportionale und lineare Zuordnungen |
 |
 |  | 14.09.2022, 13:06:50 Uhr: Ursprungsgerade |
 |
 |  | 14.09.2022, 12:55:47 Uhr: Dreisatz |
 |
 |  | 09.09.2022, 10:36:21 Uhr: Zuordnungen |
 |
 |  | 13.07.2022, 09:28:45 Uhr: Primzahlen |
 |
 |  | 20.06.2022, 10:42:55 Uhr: Lösungen zu den Übungsaufgaben |
 |
 |  | 14.06.2022, 09:31:33 Uhr: Punkteverteilung in der Klassenarbeit |
 |
 |  | 14.06.2022, 09:26:04 Uhr: Aufgaben zu Volumen und Oberfläche von Quadern |
 |
 |  | 14.06.2022, 08:47:34 Uhr: Volumen und Oberfläche von Quadern |
 |
 |  | 10.06.2022, 09:00:01 Uhr: Volumen und Oberfläche von Quadern |
 |
 |  | 20.05.2022, 12:52:48 Uhr: Volumenberechnung bei Quadern |
 |
 |  | 12.05.2022, 13:06:15 Uhr: Längen-, Flächen- und Volumeneinheiten |
 |
 |  | 15.02.2022, 12:25:45 Uhr: Grundrechenarten mit Brüchen |
 |
 |  | 13.01.2022, 10:10:29 Uhr: Unechte Brüche und gemischte Zahlen |
 |
 |  | 14.12.2021, 09:06:29 Uhr: Addition und Subtraktion von Brüchen |
 |
 |  | 09.12.2021, 11:07:02 Uhr: Aufgaben zum Üben und Hinweise zu Winkeln |
 |
 |  | 07.12.2021, 09:11:58 Uhr: Themen der Klassenarbeit |
 |
 |  | 30.11.2021, 09:17:37 Uhr: Winkel - Einführung, Arten, Zeichnen |
 |
 |  | 25.11.2021, 09:18:41 Uhr: Begriffe rund um den Kreis |
 |
 |  | 16.11.2021, 09:27:56 Uhr: Besprechung der Klassenarbeit |
 |
 |  | 02.11.2021, 09:18:06 Uhr: Themen der Klassenarbeit |
 |
 |  | 28.10.2021, 11:09:14 Uhr: Dezimalzahlen runden |
 |
 |  | 26.10.2021, 09:15:52 Uhr: Themen der Klassenarbeit |
 |
 |  | 04.10.2021, 10:36:08 Uhr: Brüche in Dezimalzahlen umwandeln |
 |
 |  | 30.09.2021, 13:18:14 Uhr: Brüche in Dezimalzahlen umwandeln |
 |
 |  | 27.09.2021, 12:18:17 Uhr: Wiederholung zu Dezimalbruechen |
 |
 |  | 20.09.2021, 11:02:53 Uhr: Division von Dezimalzahlen |
 |
 |  | 13.09.2021, 10:24:10 Uhr: Addition und Subtraktion von Dezimalzahlen |
 |
 |  | 30.08.2021, 10:47:55 Uhr: Dezimalzahlen und Brüche |
 |
 |  | 07.07.2021, 08:31:37 Uhr: Brüche |
 |
 |  | 30.06.2021, 08:51:24 Uhr: Brüche kürzen |
 |
 |  | 30.06.2021, 08:26:29 Uhr: Brüche erweitern |
 |
 |  | 25.06.2021, 11:14:56 Uhr: Achsenspiegelung |
 |
 |  | 23.06.2021, 09:13:41 Uhr: Lösungen zu AB 88884 |
 |
 |  | 21.06.2021, 08:57:27 Uhr: Hinweise zur KA und zu Geometrie |
 |
 |  | 16.06.2021, 08:56:17 Uhr: Parallel und senkrecht |
 |
 |  | 14.06.2021, 09:01:02 Uhr: Grundbegriffe der Geometrie |
 |
 |  | 02.06.2021, 08:36:25 Uhr: Themen der Klassenarbeit |
 |
 |  | 20.05.2021, 08:05:55 Uhr: Größe Portugals |
 |
 |  | 11.05.2021, 19:31:33 Uhr: Fußleisten berechnen |
 |
 |  | 11.05.2021, 19:20:06 Uhr: Flächeneinheiten umrechnen |
 |
 |  | 10.05.2021, 09:18:19 Uhr: Lösungen zu Flächenberechnungen |
 |
 |  | 10.05.2021, 08:54:20 Uhr: Umfang und Flächeninhalte berechnen |
 |
 |  | 08.05.2021, 18:01:29 Uhr: Lösungen zu den Aufgaben zum Umfang |
 |
 |  | 08.05.2021, 17:15:23 Uhr: Lösungen zu den Sachaufgaben zu Längen |
 |
 |  | 05.05.2021, 08:59:22 Uhr: Umfang und Flächeninhalt von Rec |
 |
 |  | 05.05.2021, 08:58:52 Uhr: Sachaufgaben zu Längen |
 |
 |  | 04.05.2021, 13:09:15 Uhr: Sachaufgaben zu Längen |
 |
 |  | 03.05.2021, 09:15:30 Uhr: Sachaufgaben zu Längen |
 |
 |  | 01.05.2021, 16:47:23 Uhr: Lösungen zur Umrechnung von Längeneinheiten |
 |
 |  | 29.04.2021, 10:19:29 Uhr: Längen umrechnen |
 |
 |  | 28.04.2021, 12:54:10 Uhr: Längen umrechnen |
 |
 |  | 26.04.2021, 09:20:15 Uhr: Längeneinheiten unrechnen |
 |
 |  | 22.04.2021, 10:21:14 Uhr: Umrechnungstabelle für Längen |
 |
 |  | 21.04.2021, 13:01:56 Uhr: Umrechnen von Längeneinheiten |
 |
 |  | 23.03.2021, 20:02:27 Uhr: Themen der Klassenarbeit |
 |
 |  | 22.03.2021, 08:58:39 Uhr: Themen der Klassenarbeit |
 |
 |  | 10.03.2021, 09:10:53 Uhr: Mögliche Tabelleneinträge |
 |
 |  | 08.03.2021, 09:10:13 Uhr: Haus der Vierecke |
 |
 |  | 04.03.2021, 12:57:10 Uhr: Rechteck und Quadrat |
 |
 |  | 03.03.2021, 12:58:36 Uhr: Quader und Pyramiden zeichnen |
 |
 |  | 03.03.2021, 12:44:16 Uhr: Parallelogramm und Raute |
 |
 |  | 01.03.2021, 08:55:33 Uhr: Quadrat und Rechteck |
 |
 |  | 01.03.2021, 08:52:16 Uhr: Körper zeichnen |
 |
 |  | 25.02.2021, 11:11:07 Uhr: Körper zeichnen |
 |
 |  | 22.02.2021, 08:50:47 Uhr: Zwei-Punkt-Perspektive |
 |
 |  | 17.02.2021, 08:56:26 Uhr: Zusammengesetzte Körper |
 |
 |  | 10.02.2021, 08:56:30 Uhr: Würfel und Pyramiden zeichnen |
 |
 |  | 10.02.2021, 08:56:30 Uhr: Quader und Pyramiden zeichnen |
 |
 |  | 08.02.2021, 09:19:57 Uhr: Körpernetze |
 |
 |  | 03.02.2021, 09:12:45 Uhr: Ecken, Kanten und Flächen |
 |
 |  | 01.02.2021, 09:19:04 Uhr: Körperarten |
 |
 |  | 28.01.2021, 12:27:31 Uhr: Rechengesetze |
 |
 |  | 25.01.2021, 09:19:38 Uhr: Taschengeld |
 |
 |  | 25.01.2021, 09:19:13 Uhr: Potenzen |
 |
 |  | 21.01.2021, 12:53:07 Uhr: Sachaufgaben zum Schriftlichen Rechnen |
 |
 |  | 18.01.2021, 09:06:49 Uhr: Lösungen |
 |
 |  | 18.01.2021, 08:44:26 Uhr: Schriftliche Divsion mit Rest |
 |
 |  | 14.01.2021, 12:13:00 Uhr: Schriftliche Division |
 |
 |  | 07.12.2020, 08:40:12 Uhr: Themen der Klassenarbeit |
 |
 |  | 03.12.2020, 12:56:24 Uhr: Rechenregeln |
 |
 |  | 02.12.2020, 07:55:24 Uhr: Themen der Klassenarbeit |
 |
 |  | 30.11.2020, 09:07:57 Uhr: Multiplizieren und Dividieren |
 |
 |  | 26.11.2020, 12:16:11 Uhr: Produkt und Quotient |
 |
 |  | 23.11.2020, 12:51:54 Uhr: Doppelte Achsenspiegelung |
 |
 |  | 23.11.2020, 12:26:00 Uhr: AB 3 zur Achsenspiegelung |
 |
 |  | 23.11.2020, 12:25:38 Uhr: AB 2 zur Achsenspiegelung |
 |
 |  | 23.11.2020, 12:25:06 Uhr: AB 1 zur Achsenspiegelung |
 |
 |  | 23.11.2020, 12:12:41 Uhr: Achsenspiegelung |
 |
 |  | 09.11.2020, 09:10:51 Uhr: Textaufgaben |
 |
 |  | 02.11.2020, 09:17:15 Uhr: Schriftliche Subtraktion |
 |
 |  | 22.10.2020, 12:12:48 Uhr: Grundbegriffe des Rechnens |
 |
 |  | 19.10.2020, 08:01:24 Uhr: Magische Quadrate |
 |
 |  | 21.09.2020, 08:53:34 Uhr: Zahlen ordnen und runden |
 |
 |  | 14.09.2020, 09:14:02 Uhr: Binär- und Dezimalzahlen |
 |
 |  | 10.09.2020, 12:58:31 Uhr: Wert einer Ziffer |
 |
 |  | 10.09.2020, 12:58:31 Uhr: Wert eine Ziffer |
 |
 |  | 03.09.2020, 13:04:22 Uhr: Säulendiagramm zu Geburtstagen |
 |
 |  | 03.09.2020, 13:04:06 Uhr: Strichliste zu Haustieren |
 |
 |  | 31.08.2020, 09:23:10 Uhr: Histogramm zu Körpergrößen |
 |
 |  | 20.08.2020, 12:46:58 Uhr: Säulendiagramme zu Schuhgrößen und Wohnorten |
 |